Расчет размерных цепей
онлайн

Прямая задача
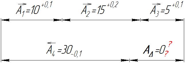
Прямая задача - задача, при которой заданы параметры замыкающего звена и требуется определить параметры составляющих звеньев.
Обратная задача - задача, в которой известны параметры составляющих звеньев и требуется определить параметры замыкающего звена.
